Официальное опубликование правовых актов
ОФИЦИАЛЬНОЕ ОПУБЛИКОВАНИЕ
Приказ Министерства культуры Российской Федерации от 13.08.2024 № 1547
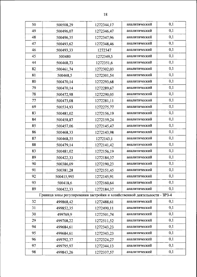
"Об утверждении границ зон охраны объекта культурного наследия федерального значения "Церковь Успения с Пароменья со Звонницей", 1521 г. (Псковская область), отнесенного к особо ценным объектам культурного наследия народов Российской Федерации, особых режимов использования земель и требований к градостроительным регламентам в границах территорий данных зон"
(Зарегистрирован 13.11.2024 № 80143)
Номер опубликования: 0001202411140014
Дата опубликования: 14.11.2024
Страница №18 из 32:
Увеличить