Официальное опубликование правовых актов
ОФИЦИАЛЬНОЕ ОПУБЛИКОВАНИЕ
Приказ Министерства культуры Российской Федерации от 13.08.2024 № 1544
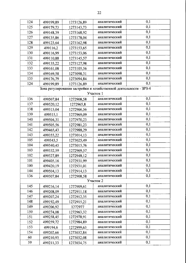
"Об утверждении границ зон охраны объекта культурного наследия федерального значения "Церковь Георгия со Взвоза", 1494 г. (Псковская область), включенного в Список всемирного наследия и отнесенного к особо ценным объектам культурного наследия народов Российской Федерации, особых режимов использования земель и требований к градостроительным регламентам в границах территорий данных зон"
(Зарегистрирован 13.11.2024 № 80150)
Номер опубликования: 0001202411140019
Дата опубликования: 14.11.2024
Страница №22 из 39:
Увеличить