Официальное опубликование правовых актов
ОФИЦИАЛЬНОЕ ОПУБЛИКОВАНИЕ
Приказ Министерства транспорта Российской Федерации от 18.10.2024 № 364
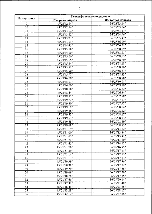
"Об утверждении пределов морского грузо-пассажирского постоянного многостороннего пункта пропуска через государственную границу Российской Федерации в морском порту Керчь (Республика Крым)"
(Зарегистрирован 25.11.2024 № 80308)
Номер опубликования: 0001202411260001
Дата опубликования: 26.11.2024
Страница №7 из 16:
Увеличить