Официальное опубликование правовых актов
ОФИЦИАЛЬНОЕ ОПУБЛИКОВАНИЕ
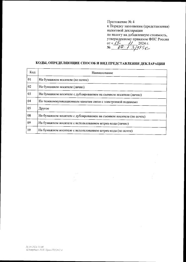
Приказ Федеральной налоговой службы от 05.11.2024 № ЕД-7-3/989@
"Об утверждении формы налоговой декларации по налогу на добавленную стоимость, порядка ее заполнения (представления), формата представления налоговой декларации по налогу на добавленную стоимость в электронной форме, а также форматов представления документов, прилагаемых к такой декларации, в электронной форме"
(Зарегистрирован 16.12.2024 № 80579)
Номер опубликования: 0001202412170015
Дата опубликования: 17.12.2024
Страница №123 из 256:
Увеличить