Официальное опубликование правовых актов
ОФИЦИАЛЬНОЕ ОПУБЛИКОВАНИЕ
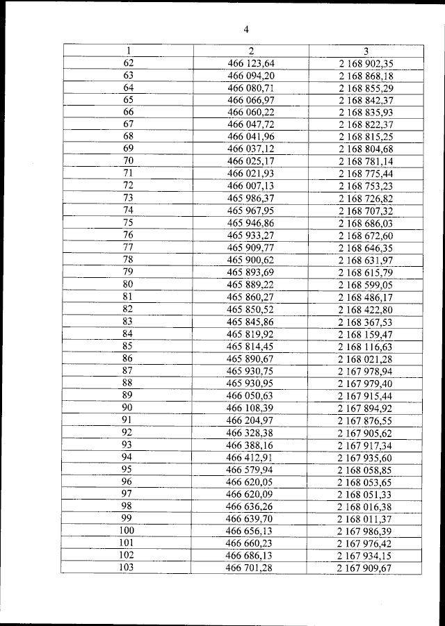
Приказ Федеральной службы охраны Российской Федерации от 11.12.2024 № 198
"Об установлении зоны охраняемого объекта (Московская область, Одинцовский городской округ, кадастровый квартал: 50:20:0040710)"
(Зарегистрирован 16.01.2025 № 80934)
Номер опубликования: 0001202501170006
Дата опубликования: 17.01.2025
Страница №4 из 9:
Увеличить