Официальное опубликование правовых актов
ОФИЦИАЛЬНОЕ ОПУБЛИКОВАНИЕ
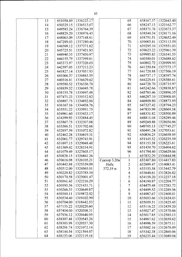
Приказ Федерального агентства воздушного транспорта от 24.04.2025 № 293-П
"Об установлении приаэродромной территории аэродрома гражданской авиации Бугуруслан-Северный"
(Зарегистрирован 28.05.2025 № 82381)
Номер опубликования: 0001202505290030
Дата опубликования: 29.05.2025
Страница №86 из 279:
Увеличить