Официальное опубликование правовых актов
ОФИЦИАЛЬНОЕ ОПУБЛИКОВАНИЕ
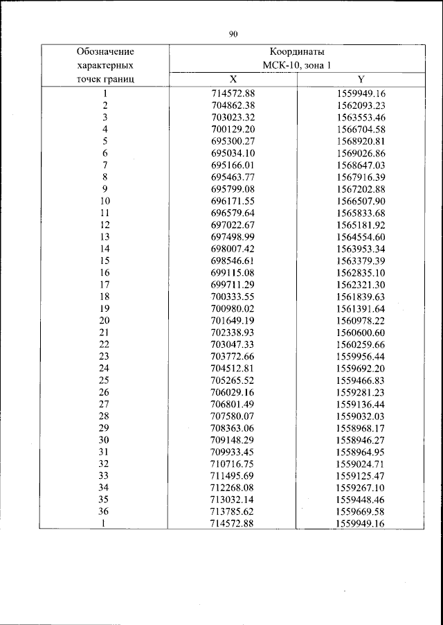
Приказ Федерального агентства воздушного транспорта от 29.01.2025 № 47-П
"Об установлении приаэродромной территории аэродрома гражданской авиации Соловки"
(Зарегистрирован 10.06.2025 № 82605)
Номер опубликования: 0001202506110016
Дата опубликования: 11.06.2025
Страница №91 из 205:
Увеличить