Официальное опубликование правовых актов
ОФИЦИАЛЬНОЕ ОПУБЛИКОВАНИЕ
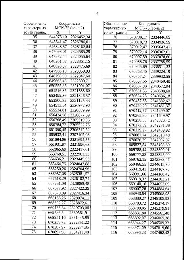
Приказ Федерального агентства воздушного транспорта от 20.05.2025 № 342-П
"Об установлении приаэродромной территории аэродрома гражданской авиации Чита (Кадала)"
(Зарегистрирован 20.06.2025 № 82665)
Номер опубликования: 0001202506230005
Дата опубликования: 23.06.2025
Страница №5 из 225:
Увеличить