Официальное опубликование правовых актов
ОФИЦИАЛЬНОЕ ОПУБЛИКОВАНИЕ
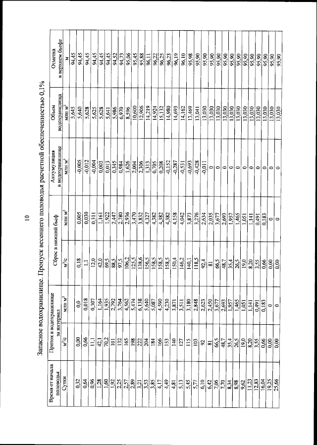
Приказ Федерального агентства водных ресурсов от 28.05.2025 № 132
"Об утверждении Правил использования водных ресурсов Вильского, Запасного, Верхне-Выксунского, Нижне-Выксунского водохранилищ"
(Зарегистрирован 02.07.2025 № 82789)
Номер опубликования: 0001202507030009
Дата опубликования: 03.07.2025
Страница №144 из 153:
Увеличить