Официальное опубликование правовых актов
ОФИЦИАЛЬНОЕ ОПУБЛИКОВАНИЕ
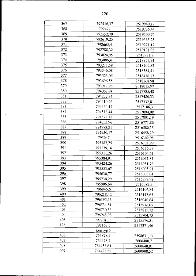
Приказ Министерства природных ресурсов и экологии Российской Федерации от 07.05.2025 № 253
"Об утверждении Положения о национальном парке "Командорские острова"
(Зарегистрирован 02.07.2025 № 82795)
Номер опубликования: 0001202507030013
Дата опубликования: 03.07.2025
Страница №279 из 313:
Увеличить