Официальное опубликование правовых актов
ОФИЦИАЛЬНОЕ ОПУБЛИКОВАНИЕ
Приказ Федерального агентства водных ресурсов от 09.06.2025 № 144
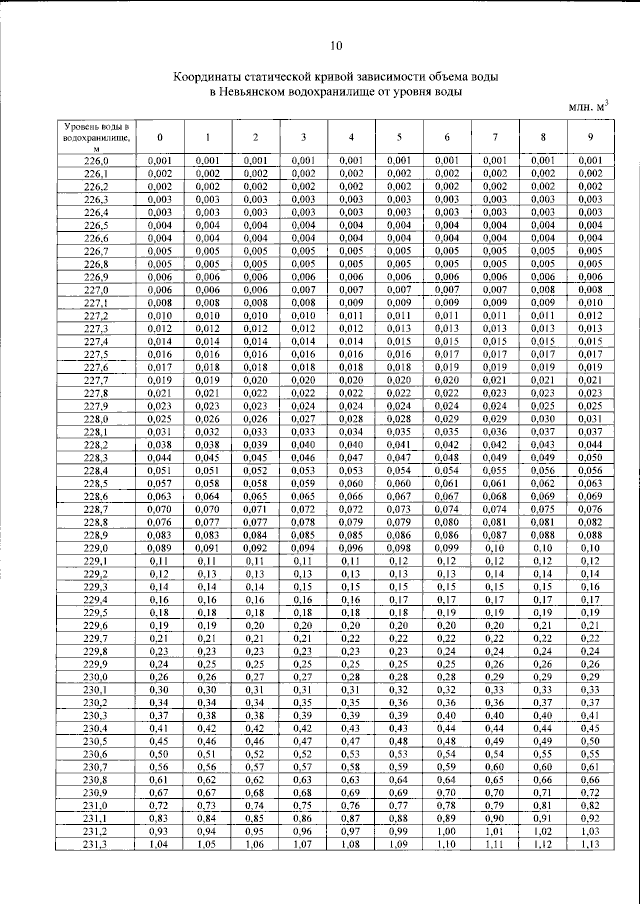
"Об утверждении Правил использования водных ресурсов Верх-Нейвинского, Нейво-Рудянского и Невьянского водохранилищ"
(Зарегистрирован 18.07.2025 № 82982)
Номер опубликования: 0001202507180014
Дата опубликования: 18.07.2025
Страница №47 из 127:
Увеличить