Официальное опубликование правовых актов
ОФИЦИАЛЬНОЕ ОПУБЛИКОВАНИЕ
Приказ Министерства транспорта Российской Федерации от 29.07.2025 № 222
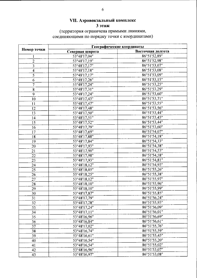
"Об утверждении пределов воздушного пассажирского многостороннего работающего на нерегулярной основе пункта пропуска через государственную границу Российской Федерации в международном аэропорту Новокузнецк (Спиченково)"
(Зарегистрирован 21.08.2025 № 83252)
Номер опубликования: 0001202508210019
Дата опубликования: 21.08.2025
Страница №7 из 11:
Увеличить