Официальное опубликование правовых актов
ОФИЦИАЛЬНОЕ ОПУБЛИКОВАНИЕ
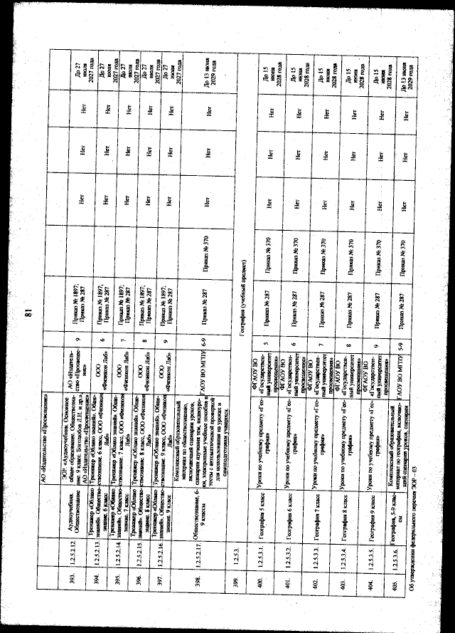
Приказ Министерства просвещения Российской Федерации от 23.07.2025 № 551
"Об утверждении федерального перечня электронных образовательных ресурсов, допущенных к использованию при реализации имеющих государственную аккредитацию образовательных программ начального общего, основного общего, среднего общего образования"
(Зарегистрирован 22.08.2025 № 83289)
Номер опубликования: 0001202508250013
Дата опубликования: 25.08.2025
Страница №82 из 310:
Увеличить