Официальное опубликование правовых актов
ОФИЦИАЛЬНОЕ ОПУБЛИКОВАНИЕ
Приказ Министерства природных ресурсов и экологии Российской Федерации от 21.03.2025 № 123
"Об утверждении Положения о Тебердинском национальном парке"
(Зарегистрирован 22.08.2025 № 83284)
Номер опубликования: 0001202508250017
Дата опубликования: 25.08.2025
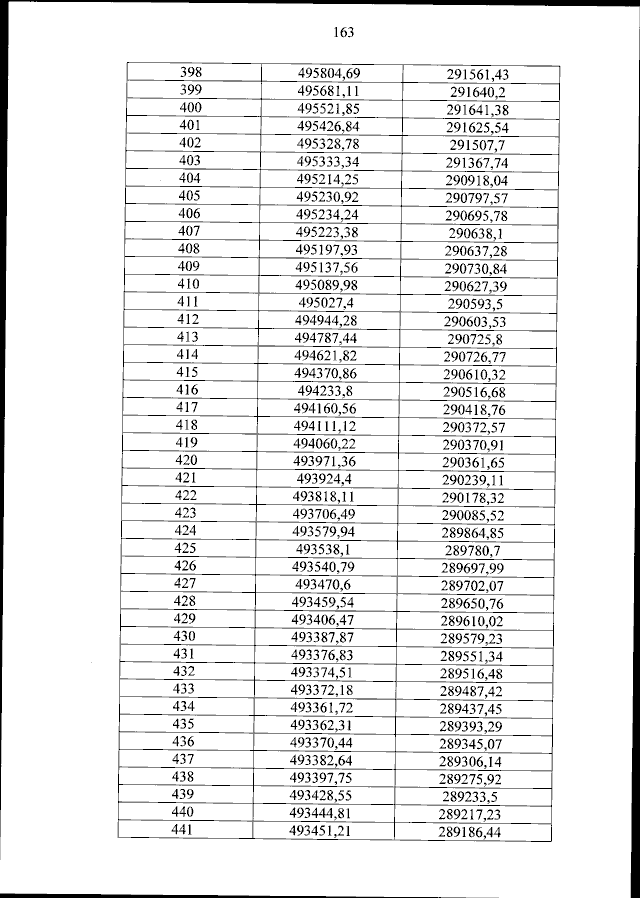
Страница №182 из 340:
Увеличить