Официальное опубликование правовых актов
ОФИЦИАЛЬНОЕ ОПУБЛИКОВАНИЕ
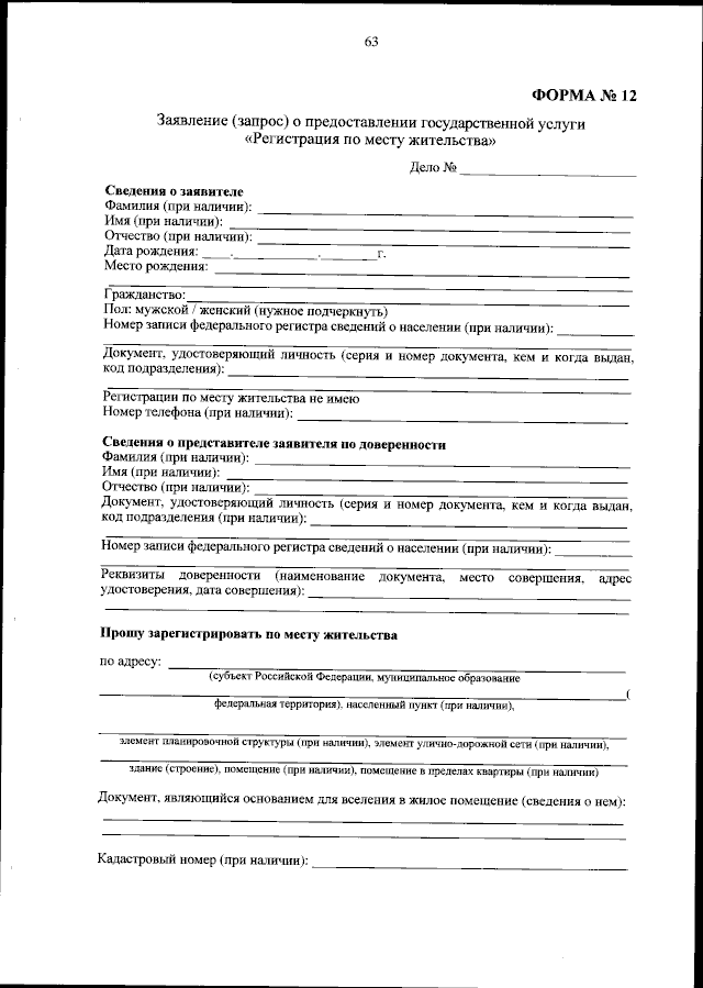
Приказ Министерства внутренних дел Российской Федерации от 06.08.2025 № 553
"Об утверждении Административного регламента Министерства внутренних дел Российской Федерации по предоставлению государственной услуги по регистрационному учету граждан Российской Федерации по месту пребывания и по месту жительства в пределах Российской Федерации"
(Зарегистрирован 29.08.2025 № 83396)
Номер опубликования: 0001202508290042
Дата опубликования: 29.08.2025
Страница №63 из 138:
Увеличить