Официальное опубликование правовых актов
ОФИЦИАЛЬНОЕ ОПУБЛИКОВАНИЕ
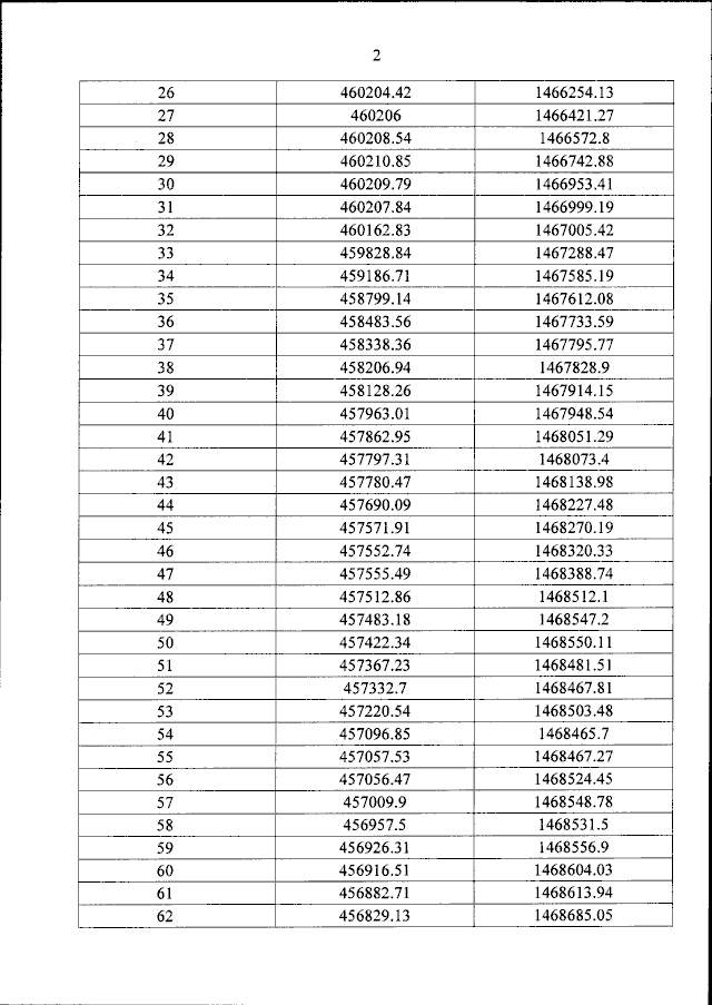
Приказ Министерства природных ресурсов и экологии Российской Федерации от 28.07.2025 № 413
"Об утверждении Положения о Висимском государственном природном биосферном заповеднике"
(Зарегистрирован 02.09.2025 № 83445)
Номер опубликования: 0001202509030005
Дата опубликования: 03.09.2025
Страница №11 из 28:
Увеличить