Официальное опубликование правовых актов
ОФИЦИАЛЬНОЕ ОПУБЛИКОВАНИЕ
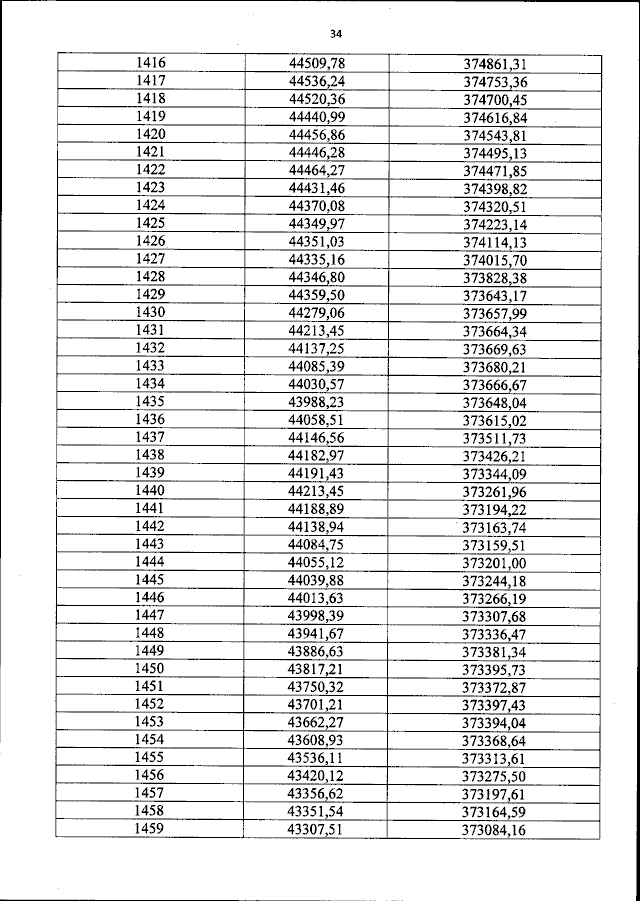
Приказ Министерства природных ресурсов и экологии Российской Федерации от 14.07.2025 № 391
"Об установлении границ охранной зоны национального парка "Самурский", а также об утверждении Положения о данной охранной зоне"
(Зарегистрирован 17.10.2025 № 83871)
Номер опубликования: 0001202510200010
Дата опубликования: 20.10.2025
Страница №35 из 56:
Увеличить