Официальное опубликование правовых актов
ОФИЦИАЛЬНОЕ ОПУБЛИКОВАНИЕ
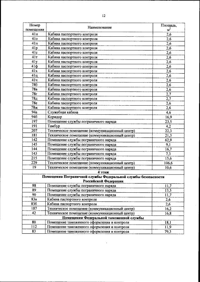
Приказ Министерства транспорта Российской Федерации от 10.09.2025 № 277
"Об открытии воздушного грузо-пассажирского постоянного многостороннего пункта пропуска через государственную границу Российской Федерации в международном аэропорту Москва (Внуково), реконструированного в пределах аэровокзального комплекса Внуково-1 (Терминала А), и о внесении изменений в пределы воздушного грузо-пассажирского постоянного многостороннего пункта пропуска через государственную границу Российской Федерации в международном аэропорту Москва (Внуково), утвержденные приказом Министерства транспорта Российской Федерации от 24 июля 2018 г. № 279"
(Зарегистрирован 20.10.2025 № 83880)
Номер опубликования: 0001202510200027
Дата опубликования: 20.10.2025
Страница №14 из 18:
Увеличить