Официальное опубликование правовых актов
ОФИЦИАЛЬНОЕ ОПУБЛИКОВАНИЕ
Приказ Министерства транспорта Российской Федерации от 12.09.2025 № 286
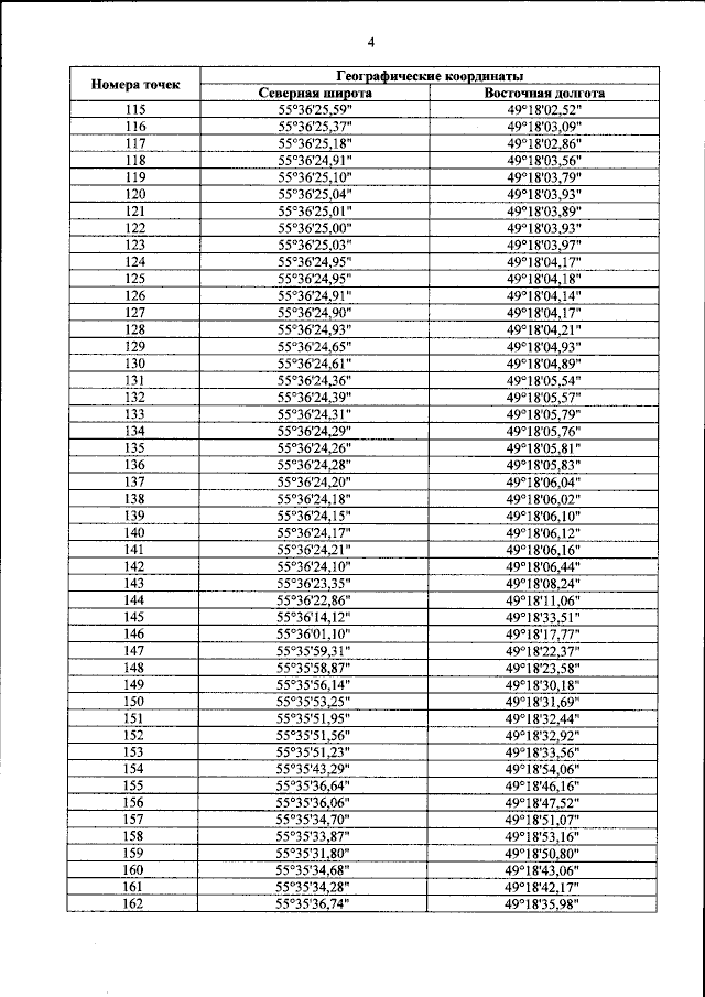
"О внесении изменений в пределы воздушного грузо-пассажирского постоянного многостороннего пункта пропуска через государственную границу Российской Федерации в международном аэропорту Казань, утвержденные приказом Министерства транспорта Российской Федерации от 23 апреля 2024 г. № 142"
(Зарегистрирован 21.10.2025 № 83897)
Номер опубликования: 0001202510220013
Дата опубликования: 22.10.2025
Страница №5 из 10:
Увеличить