Официальное опубликование правовых актов
ОФИЦИАЛЬНОЕ ОПУБЛИКОВАНИЕ
Приказ Министерства финансов Российской Федерации от 01.10.2025 № 138н
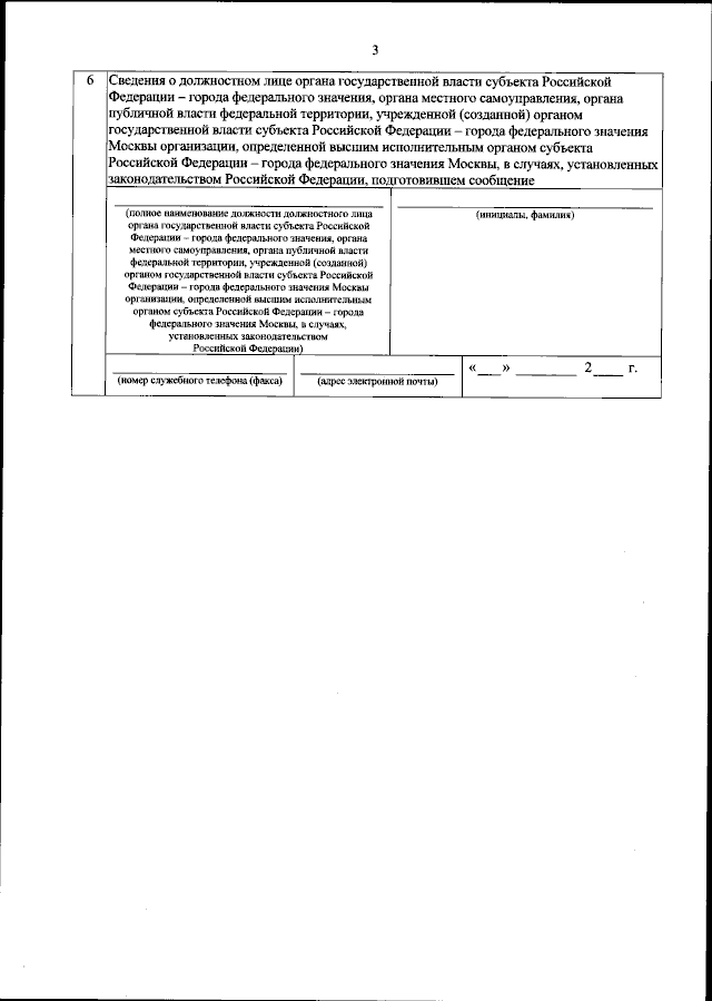
"Об утверждении форм документов, направляемых в орган государственной власти, орган местного самоуправления, орган публичной власти федеральной территории, учрежденные (созданные) органом государственной власти субъекта Российской Федерации - города федерального значения Москвы организации, определенные высшим исполнительным органом субъекта Российской Федерации - города федерального значения Москвы, в случаях, установленных законодательством Российской Федерации, оператору федеральной информационной адресной системы, при выявлении несоответствия содержащихся в государственном адресном реестре сведений об адресах требованиям, установленным законодательством Российской Федерации, а также при отсутствии в государственном адресном реестре сведений об адресе"
(Зарегистрирован 31.10.2025 № 84022)
Номер опубликования: 0001202510310023
Дата опубликования: 31.10.2025
Страница №11 из 24:
Увеличить