Официальное опубликование правовых актов
ОФИЦИАЛЬНОЕ ОПУБЛИКОВАНИЕ
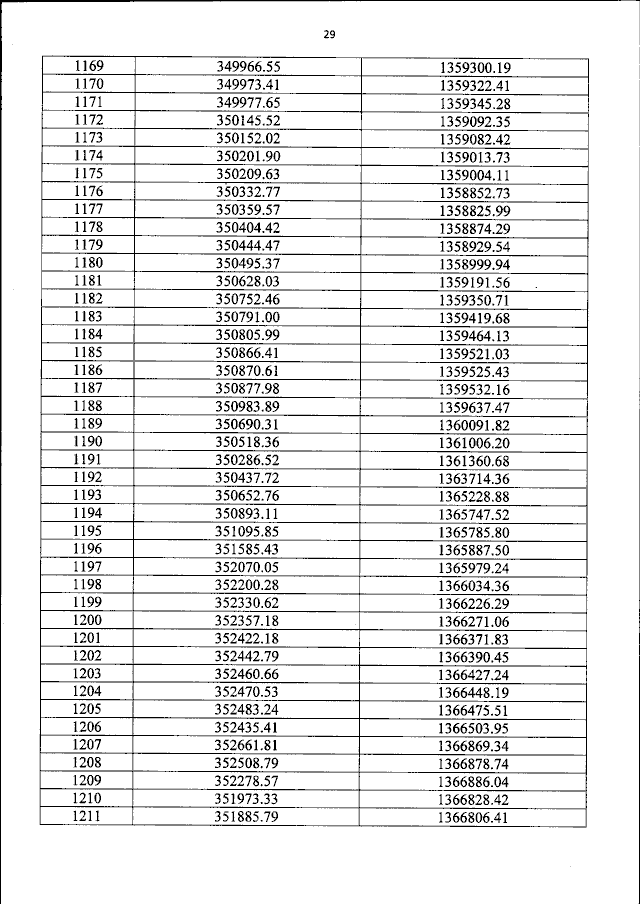
Приказ Министерства природных ресурсов и экологии Российской Федерации от 30.09.2025 № 505
"Об установлении границ охранной зоны государственного природного биосферного заповедника "Кедровая падь", а также об утверждении Положения о данной охранной зоне"
(Зарегистрирован 20.11.2025 № 84233)
Номер опубликования: 0001202511210007
Дата опубликования: 21.11.2025
Страница №30 из 49:
Увеличить