Официальное опубликование правовых актов
ОФИЦИАЛЬНОЕ ОПУБЛИКОВАНИЕ
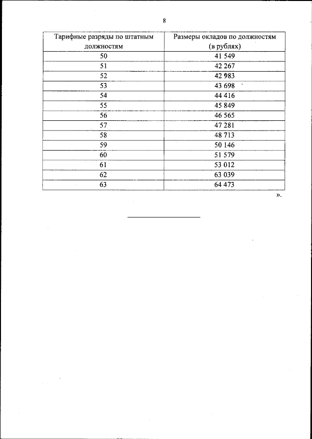
Приказ Федеральной службы войск национальной гвардии Российской Федерации от 15.10.2025 № 366
"О внесении изменений в некоторые нормативные правовые акты Федеральной службы войск национальной гвардии Российской Федерации по вопросам обеспечения денежным довольствием и отдельными выплатами личного состава войск национальной гвардии Российской Федерации"
(Зарегистрирован 26.11.2025 № 84288)
Номер опубликования: 0001202511270004
Дата опубликования: 27.11.2025
Страница №8 из 8:
Увеличить