Приказ Федеральной таможенной службы от 28.10.2025 № 999
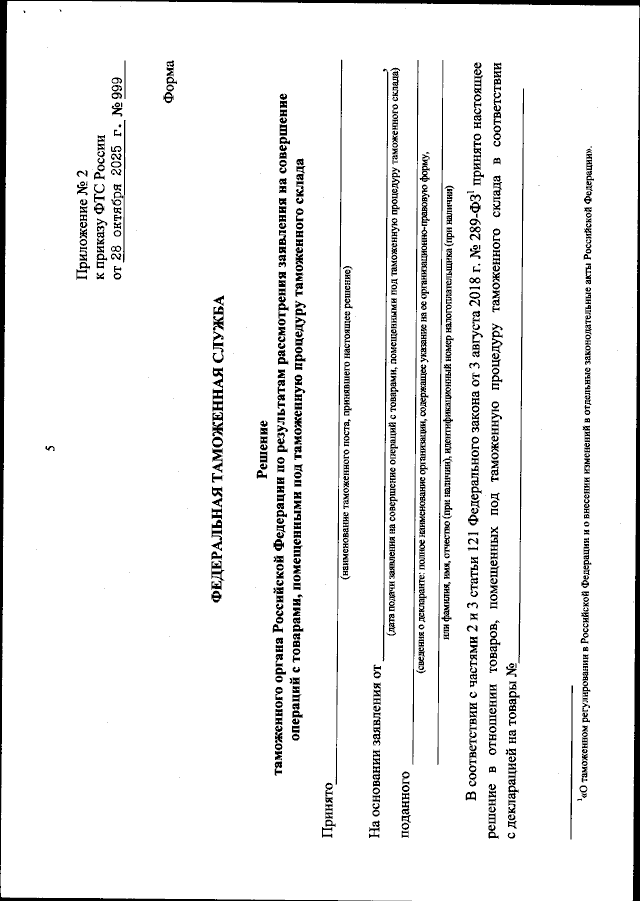
"Об утверждении формы заявления на совершение операций с товарами, помещенными под таможенную процедуру таможенного склада, и формы решения таможенного органа Российской Федерации по результатам рассмотрения указанного заявления"
(Зарегистрирован 05.12.2025 № 84471)
"Об утверждении формы заявления на совершение операций с товарами, помещенными под таможенную процедуру таможенного склада, и формы решения таможенного органа Российской Федерации по результатам рассмотрения указанного заявления"
(Зарегистрирован 05.12.2025 № 84471)
Номер опубликования: 0001202512080005
Дата опубликования:
08.12.2025
