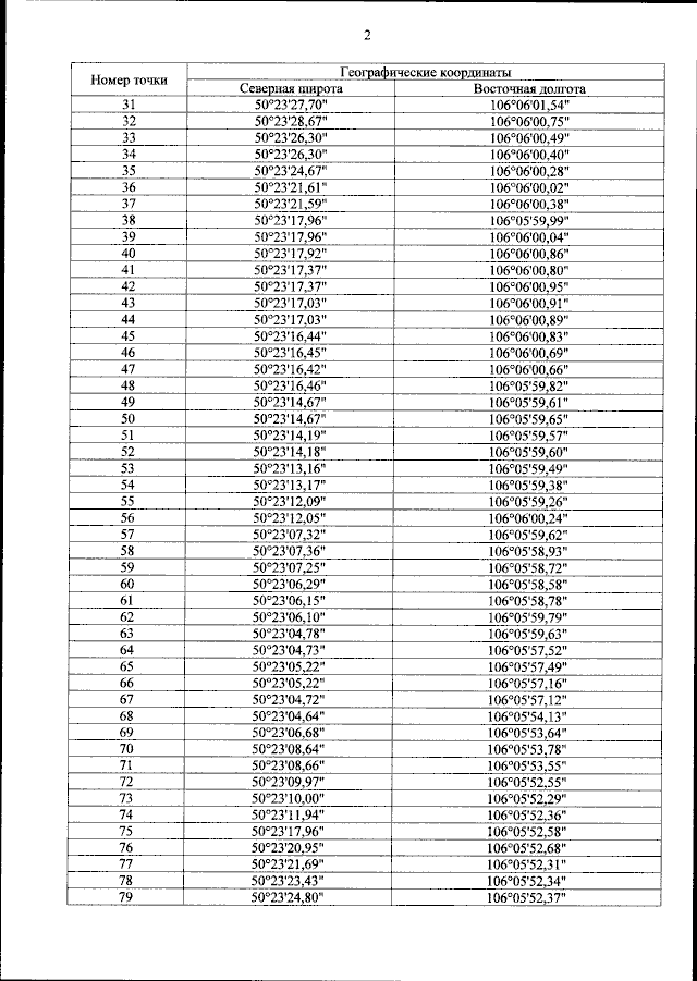
Приказ Министерства транспорта Российской Федерации от 14.11.2025 № 391
"Об утверждении пределов железнодорожного грузо-пассажирского постоянного многостороннего пункта пропуска через государственную границу Российской Федерации Наушки (Республика Бурятия)"
(Зарегистрирован 18.12.2025 № 84661)
"Об утверждении пределов железнодорожного грузо-пассажирского постоянного многостороннего пункта пропуска через государственную границу Российской Федерации Наушки (Республика Бурятия)"
(Зарегистрирован 18.12.2025 № 84661)
Номер опубликования: 0001202512190007
Дата опубликования:
19.12.2025
