Официальное опубликование правовых актов
ОФИЦИАЛЬНОЕ ОПУБЛИКОВАНИЕ
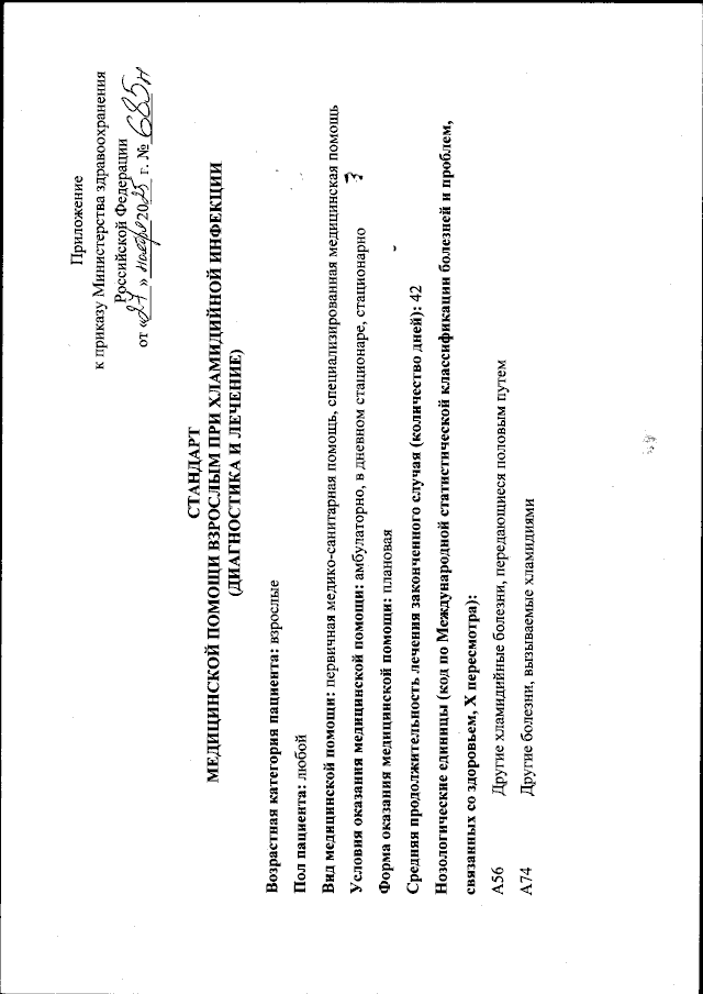
Приказ Министерства здравоохранения Российской Федерации от 27.11.2025 № 685н
"Об утверждении стандарта медицинской помощи взрослым при хламидийной инфекции (диагностика и лечение)"
(Зарегистрирован 26.12.2025 № 84798)
Номер опубликования: 0001202512260011
Дата опубликования: 26.12.2025
Страница №2 из 8:
Увеличить