Официальное опубликование правовых актов
ОФИЦИАЛЬНОЕ ОПУБЛИКОВАНИЕ
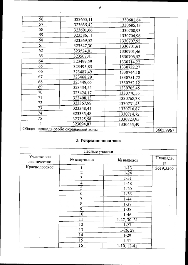
Приказ Министерства природных ресурсов и экологии Российской Федерации от 01.10.2025 № 506
"Об утверждении Положения о национальном парке "Виштынецкий"
(Зарегистрирован 29.12.2025 № 84833)
Номер опубликования: 0001202512290100
Дата опубликования: 29.12.2025
Страница №23 из 47:
Увеличить