Официальное опубликование правовых актов
ОФИЦИАЛЬНОЕ ОПУБЛИКОВАНИЕ
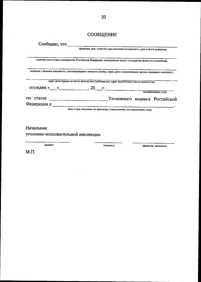
Приказ Министерства юстиции Российской Федерации от 19.01.2026 № 6
"Об организации исполнения наказаний в виде обязательных работ, лишения права занимать определенные должности или заниматься определенной деятельностью, исправительных работ, контроля за поведением осужденных, к которым применена отсрочка отбывания наказания, условно осужденных"
(Зарегистрирован 20.01.2026 № 84974)
Номер опубликования: 0001202601200018
Дата опубликования: 20.01.2026
Страница №105 из 226:
Увеличить