Официальное опубликование правовых актов
ОФИЦИАЛЬНОЕ ОПУБЛИКОВАНИЕ
Приказ Министерства культуры Российской Федерации от 11.12.2025 № 2331
"О внесении изменений в приложение № 2 к приказу Министерства культуры Российской Федерации от 7 сентября 2017 г. № 1497 "О включении выявленного объекта культурного наследия - достопримечательное место "Религиозно-историческое место: Русская Палестина" (Московская область, Истринский район) в единый государственный реестр объектов культурного наследия (памятников истории и культуры) народов Российской Федерации в качестве объекта культурного наследия федерального значения, а также об утверждении границ, требований к осуществлению деятельности и градостроительным регламентам в границах его территории"
(Зарегистрирован 26.01.2026 № 85065)
Номер опубликования: 0001202601270019
Дата опубликования: 27.01.2026
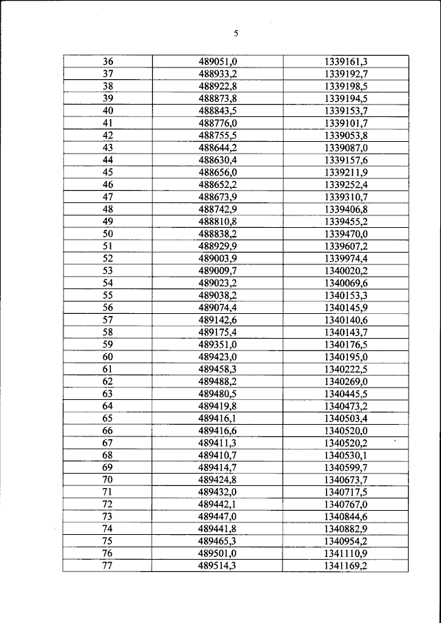
Страница №5 из 15:
Увеличить