Официальное опубликование правовых актов
ОФИЦИАЛЬНОЕ ОПУБЛИКОВАНИЕ
Приказ Федеральной антимонопольной службы от 24.12.2025 № 1161/25
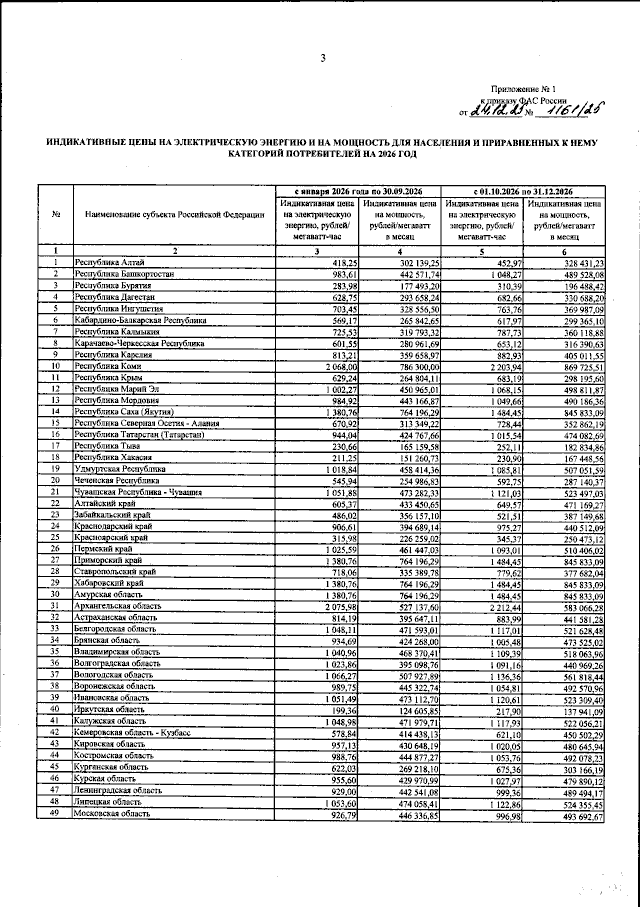
"Об утверждении индикативных цен на электрическую энергию и на мощность для населения и приравненных к нему категорий потребителей на 2026 год, индикативных цен на электрическую энергию и на мощность для покупателей в отдельных частях ценовых зон оптового рынка, в которых Правительством Российской Федерации установлены особенности функционирования оптового и розничных рынков, на 2026 год, а также индикативных цен на электрическую энергию и на мощность для покупателей - субъектов оптового рынка электрической энергии (мощности) на территории неценовой зоны оптового рынка на 2026 год"
(Зарегистрирован 29.01.2026 № 85125)
Номер опубликования: 0001202601290019
Дата опубликования: 29.01.2026
Страница №3 из 6:
Увеличить