Официальное опубликование правовых актов
ОФИЦИАЛЬНОЕ ОПУБЛИКОВАНИЕ
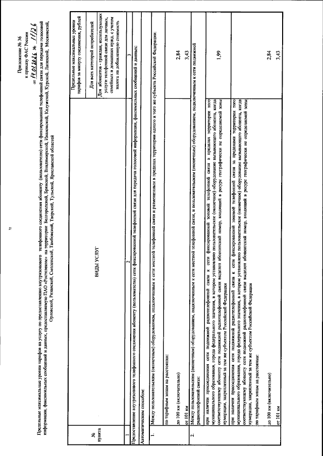
Приказ Федеральной антимонопольной службы от 14.01.2026 № 11/26
"Об утверждении предельных максимальных уровней тарифов на услуги местной телефонной связи, услугу по предоставлению внутризонового телефонного соединения абоненту (пользователю) сети фиксированной телефонной связи для передачи голосовой информации, факсимильных сообщений и данных и тарифов на услугу по передаче внутренней телеграммы, предоставляемые ПАО "Ростелеком"
(Зарегистрирован 12.02.2026 № 85320)
Номер опубликования: 0001202602130001
Дата опубликования: 13.02.2026
Страница №72 из 91:
Увеличить