Официальное опубликование правовых актов
ОФИЦИАЛЬНОЕ ОПУБЛИКОВАНИЕ
Поправки 2023 года к Международному кодексу морской перевозки навалочных грузов (МКМПНГ)
(вступили в силу для Российской Федерации 1 января 2025 года)
Номер опубликования: 0001202603110004
Дата опубликования: 11.03.2026
Страница №39 из 624:
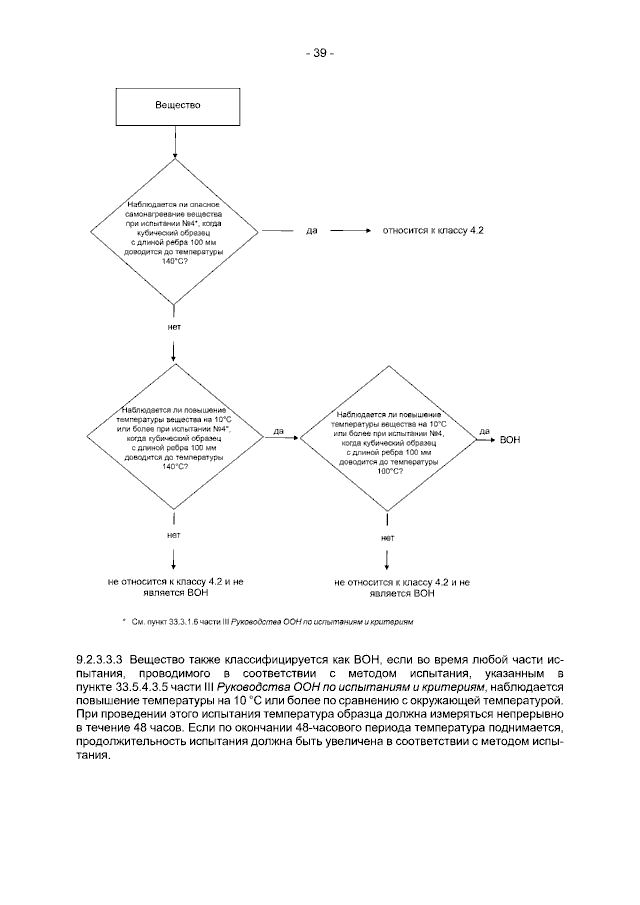
Увеличить