Официальное опубликование правовых актов
ОФИЦИАЛЬНОЕ ОПУБЛИКОВАНИЕ
Приказ Министерства культуры Российской Федерации от 28.11.2025 № 2198
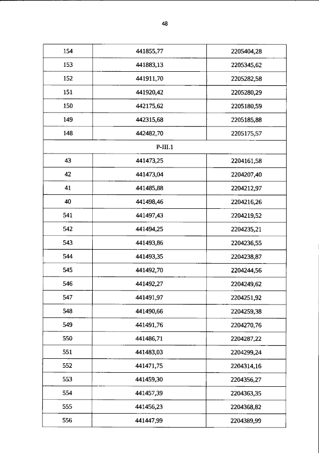
"Об утверждении требований к осуществлению деятельности и градостроительному регламенту в границах территории объекта культурного наследия (памятника истории и культуры) народов Российской Федерации федерального значения - достопримечательное место "Усадьба "Горки": памятное место, связанное с последними годами жизни и деятельности В.И. Ленина", 1918-1924 гг. (Московская область, Ленинский городской округ, рабочий поселок Горки Ленинские)"
(Зарегистрирован 17.03.2026 № 85639)
Номер опубликования: 0001202603180012
Дата опубликования: 18.03.2026
Страница №48 из 69:
Увеличить