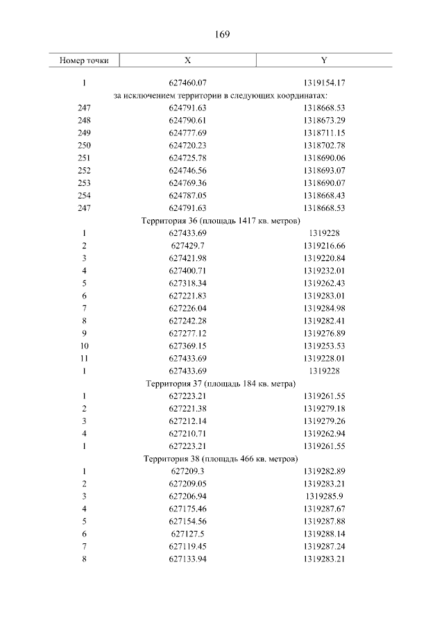
Официальное опубликование правовых актов
ОФИЦИАЛЬНОЕ ОПУБЛИКОВАНИЕ
Распоряжение Правительства Российской Федерации от 13.04.2026 № 835-р
Номер опубликования: 0001202604140032
Дата опубликования: 14.04.2026
Страница №172 из 196:
Увеличить