Официальное опубликование правовых актов
ОФИЦИАЛЬНОЕ ОПУБЛИКОВАНИЕ
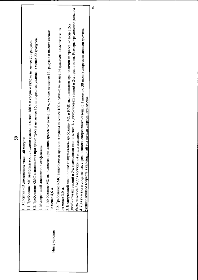
Приказ Министерства спорта Российской Федерации от 10.03.2026 № 200
"О внесении изменений в нормы, требования и условия их выполнения по соответствующим видам спорта, включенные в Единую всероссийскую спортивную классификацию (виды спорта, включенные в программу Олимпийских зимних игр), утвержденную приказом Министерства спорта Российской Федерации от 14 декабря 2022 г. № 1216"
(Зарегистрирован 16.04.2026 № 86079)
Номер опубликования: 0001202604170009
Дата опубликования: 17.04.2026
Страница №59 из 66:
Увеличить