Официальное опубликование правовых актов
ОФИЦИАЛЬНОЕ ОПУБЛИКОВАНИЕ
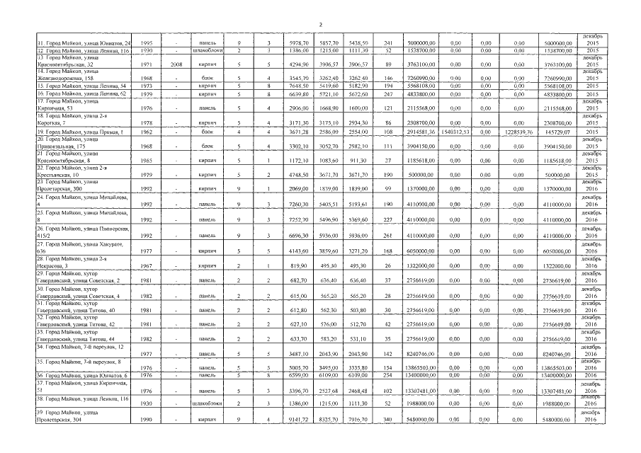
Постановление Кабинета Министров Республики Адыгея от 30.01.2015 № 11
"О внесении изменений в краткосрочный план реализации республиканской программы капитального ремонта общего имущества в многоквартирных домах на 2014-2016 годы"
Номер опубликования: 0100201502030001
Дата опубликования: 03.02.2015
Страница №4 из 20:
Увеличить