Официальное опубликование правовых актов
ОФИЦИАЛЬНОЕ ОПУБЛИКОВАНИЕ
Постановление Кабинета Министров Республики Адыгея от 29.12.2016 № 258
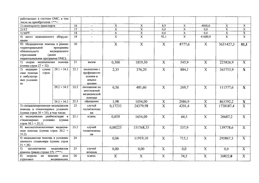
"О Программе государственных гарантий бесплатного оказания гражданам медицинской помощи в Республике Адыгея на 2017 год и на плановый период 2018 и 2019 годов"
Номер опубликования: 0100201612300005
Дата опубликования: 30.12.2016
Страница №120 из 132:
Увеличить