Официальное опубликование правовых актов
ОФИЦИАЛЬНОЕ ОПУБЛИКОВАНИЕ
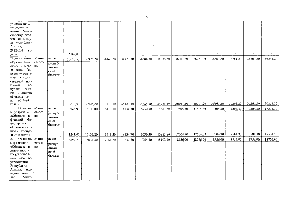
Постановление Кабинета Министров Республики Адыгея от 20.10.2017 № 181
"О внесении изменений в постановление Кабинета Министров Республики Адыгея от 11 ноября 2013 года N 262 "О государственной программе Республики Адыгея "Развитие образования" на 2014-2020 годы"
Номер опубликования: 0100201710230001
Дата опубликования: 23.10.2017
Страница №94 из 104:
Увеличить