Официальное опубликование правовых актов
ОФИЦИАЛЬНОЕ ОПУБЛИКОВАНИЕ
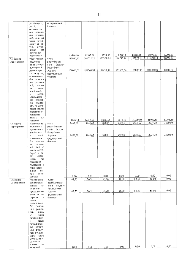
Постановление Кабинета Министров Республики Адыгея от 30.10.2017 № 189
"О внесении изменений в государственную программу Республики Адыгея "Обеспечение доступным и комфортным жильем и коммунальными услугами" на 2014-2020 годы"
Номер опубликования: 0100201711020002
Дата опубликования: 02.11.2017
Страница №14 из 15:
Увеличить