Официальное опубликование правовых актов
ОФИЦИАЛЬНОЕ ОПУБЛИКОВАНИЕ
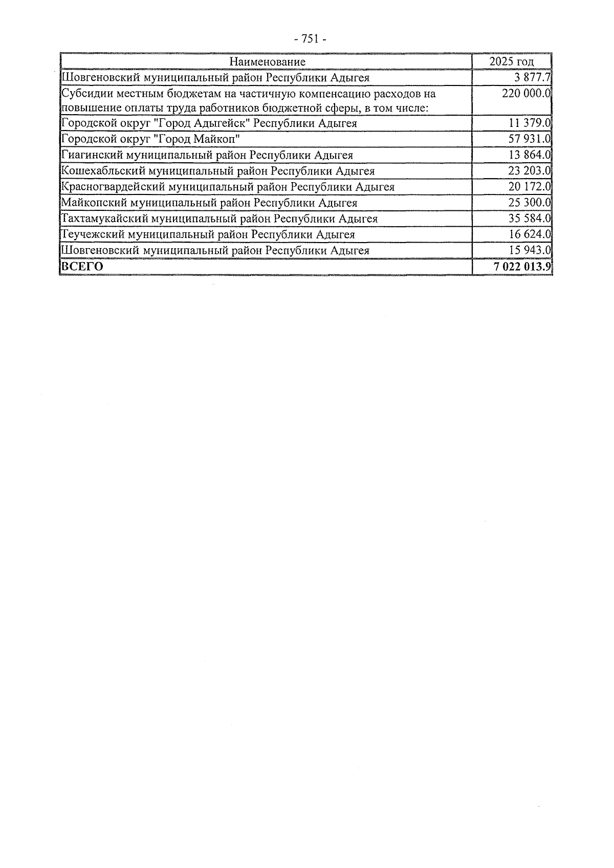
Закон Республики Адыгея от 30.10.2025 № 463
"О внесении изменений в Закон Республики Адыгея "О республиканском бюджете Республики Адыгея на 2025 год и на плановый период 2026 и 2027 годов"
Номер опубликования: 0100202511050003
Дата опубликования: 05.11.2025
Страница №751 из 759:
Увеличить