Официальное опубликование правовых актов
ОФИЦИАЛЬНОЕ ОПУБЛИКОВАНИЕ
Приказ Министерства сельского хозяйства Республики Адыгея от 12.02.2020 № 15
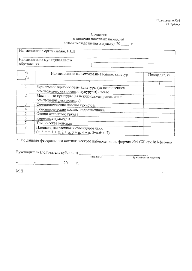
"Об утверждении Порядка предоставления из республиканского бюджета Республики Адыгея субсидий на возмещение части затрат на проведение агротехнологических работ в области растениеводства в 2020 году"
Номер опубликования: 0101202002170005
Дата опубликования: 17.02.2020
Страница №15 из 19:
Увеличить