Официальное опубликование правовых актов
ОФИЦИАЛЬНОЕ ОПУБЛИКОВАНИЕ
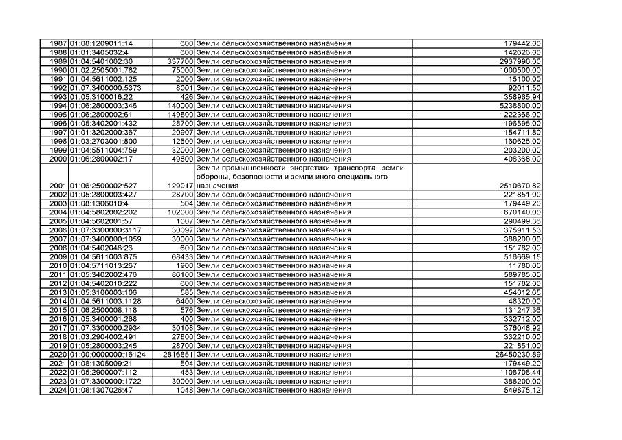
Приказ Комитета Республики Адыгея по имущественным отношениям от 15.10.2020 № 286
"Об утверждении результатов определения государственной кадастровой оценки земельных участков из состава земель сельскохозяйственного назначения, особо охраняемых территорий и объектов, промышленности, энергетики, транспорта, связи, радиовещания, телевидения, информатики, земли для обеспечения космической деятельности, земли обороны, безопасности и земли иного специального назначения на территории Республики Адыгея"
Номер опубликования: 0101202010220001
Дата опубликования: 22.10.2020
Страница №58 из 1904:
Увеличить