Приказ Управления государственных инспекций по надзору за строительством зданий, сооружений и эксплуатацией жилищного фонда Республики Адыгея от 20.09.2021 № 48
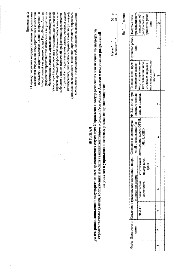
"О Порядке получения государственными гражданскими служащими Управления государственных инспекций по надзору за строительством зданий, сооружений и эксплуатацией жилищного фонда Республики Адыгея разрешения представителя нанимателя на участие на безвозмездной основе в управлении некоммерческой организацией (кроме участия в управлении политической партией, органом профессионального союза, в том числе выборным органом первичной профсоюзной организации, созданной в государственном органе, участия в съезде (конференции) или общем собрании иной общественной организации, жилищного, жилищно-строительного, гаражного кооперативов, товарищества собственников недвижимости"
"О Порядке получения государственными гражданскими служащими Управления государственных инспекций по надзору за строительством зданий, сооружений и эксплуатацией жилищного фонда Республики Адыгея разрешения представителя нанимателя на участие на безвозмездной основе в управлении некоммерческой организацией (кроме участия в управлении политической партией, органом профессионального союза, в том числе выборным органом первичной профсоюзной организации, созданной в государственном органе, участия в съезде (конференции) или общем собрании иной общественной организации, жилищного, жилищно-строительного, гаражного кооперативов, товарищества собственников недвижимости"
Номер опубликования: 0101202109240002
Дата опубликования:
24.09.2021
