Официальное опубликование правовых актов
ОФИЦИАЛЬНОЕ ОПУБЛИКОВАНИЕ
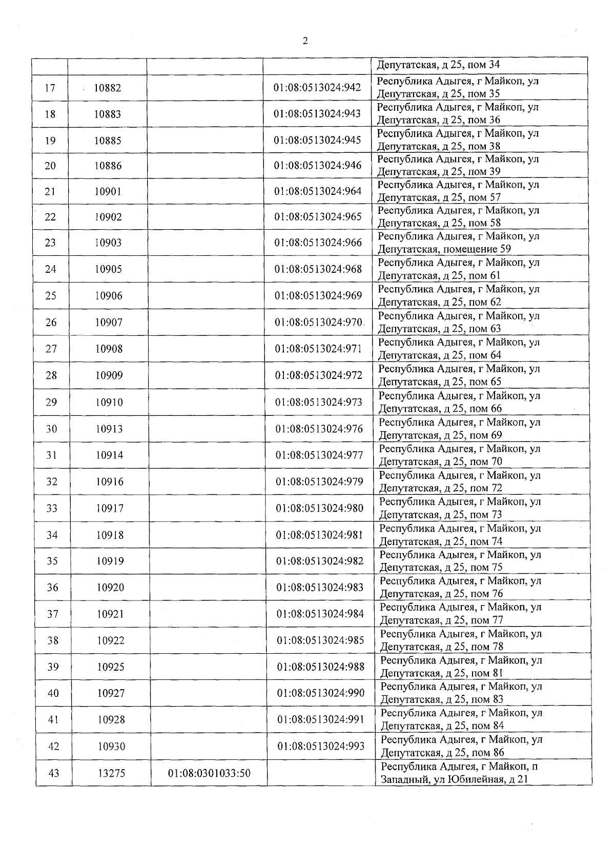
Приказ Комитета Республики Адыгея по имущественным отношениям от 27.10.2025 № 235-ОД
"О внесении изменений в перечень объектов недвижимого имущества, налоговая база в отношении которых определяется как кадастровая стоимость, утвержденный приказом Комитета Республики Адыгея по имущественным отношениям от 29 декабря 2023 года № 520 "Об утверждении перечня объектов недвижимого имущества, налоговая база в отношении которых определяется как кадастровая стоимость, на 2024 год"
(Зарегистрирован 28.10.2025 № 25-344)
Номер опубликования: 0101202510300001
Дата опубликования: 30.10.2025
Страница №4 из 5:
Увеличить