Официальное опубликование правовых актов
ОФИЦИАЛЬНОЕ ОПУБЛИКОВАНИЕ
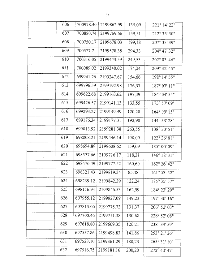
Закон Республики Башкортостан от 06.04.2023 № 687-з
"Об изменениях в административно-территориальном устройстве Республики Башкортостан и изменении границ муниципальных образований Нуримановский и Благовещенский районы Республики Башкортостан"
Номер опубликования: 0200202304110002
Дата опубликования: 11.04.2023
Страница №57 из 63:
Увеличить