Официальное опубликование правовых актов
ОФИЦИАЛЬНОЕ ОПУБЛИКОВАНИЕ
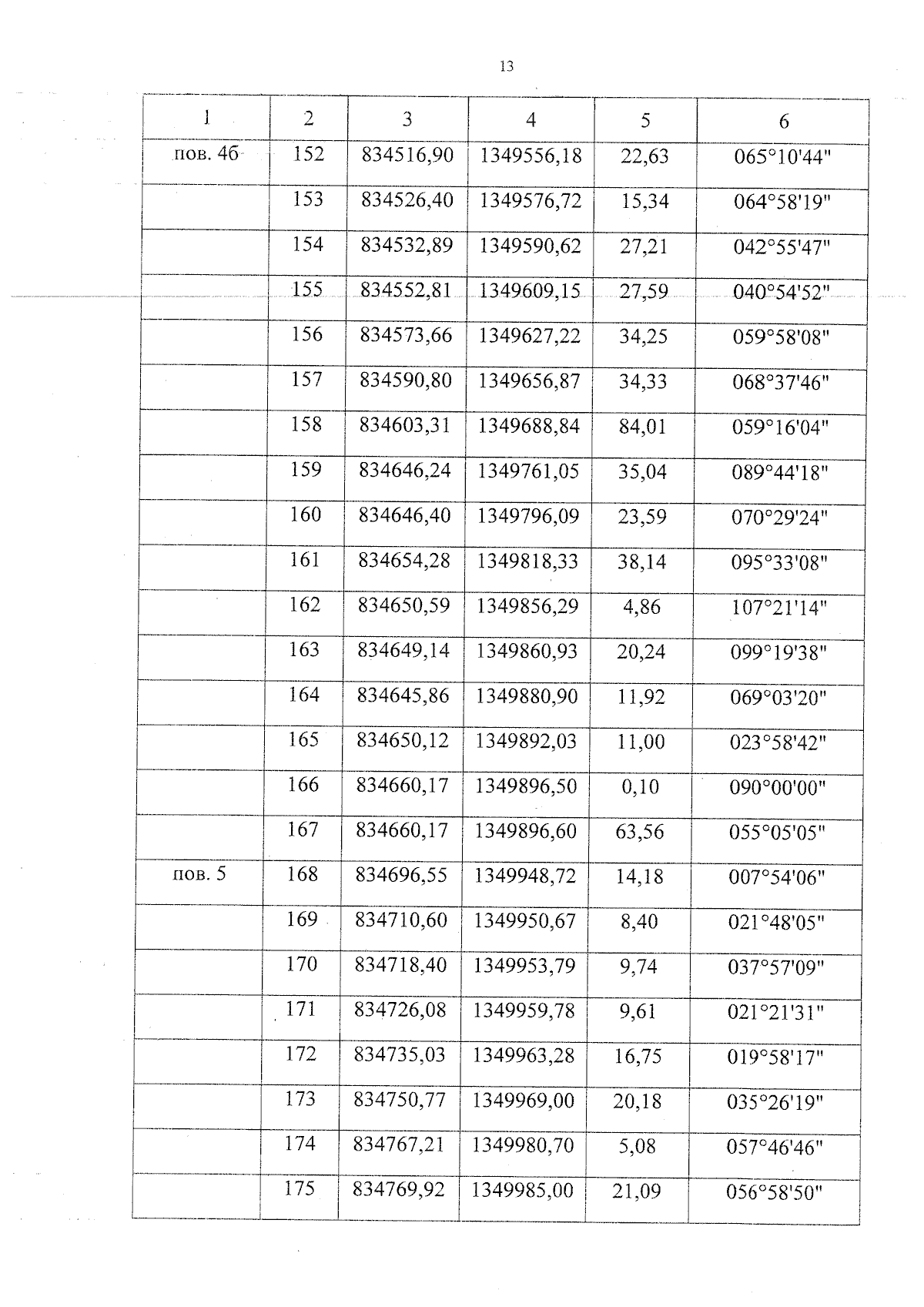
Закон Республики Башкортостан от 28.02.2025 № 229-з "Об изменениях в административно-территориальном устройстве Республики Башкортостан и изменении границ отдельных муниципальных образований в Татышлинском районе Республики Башкортостан"
Номер опубликования: 0200202503060003
Дата опубликования: 06.03.2025
Страница №13 из 116:
Увеличить