Официальное опубликование правовых актов
ОФИЦИАЛЬНОЕ ОПУБЛИКОВАНИЕ
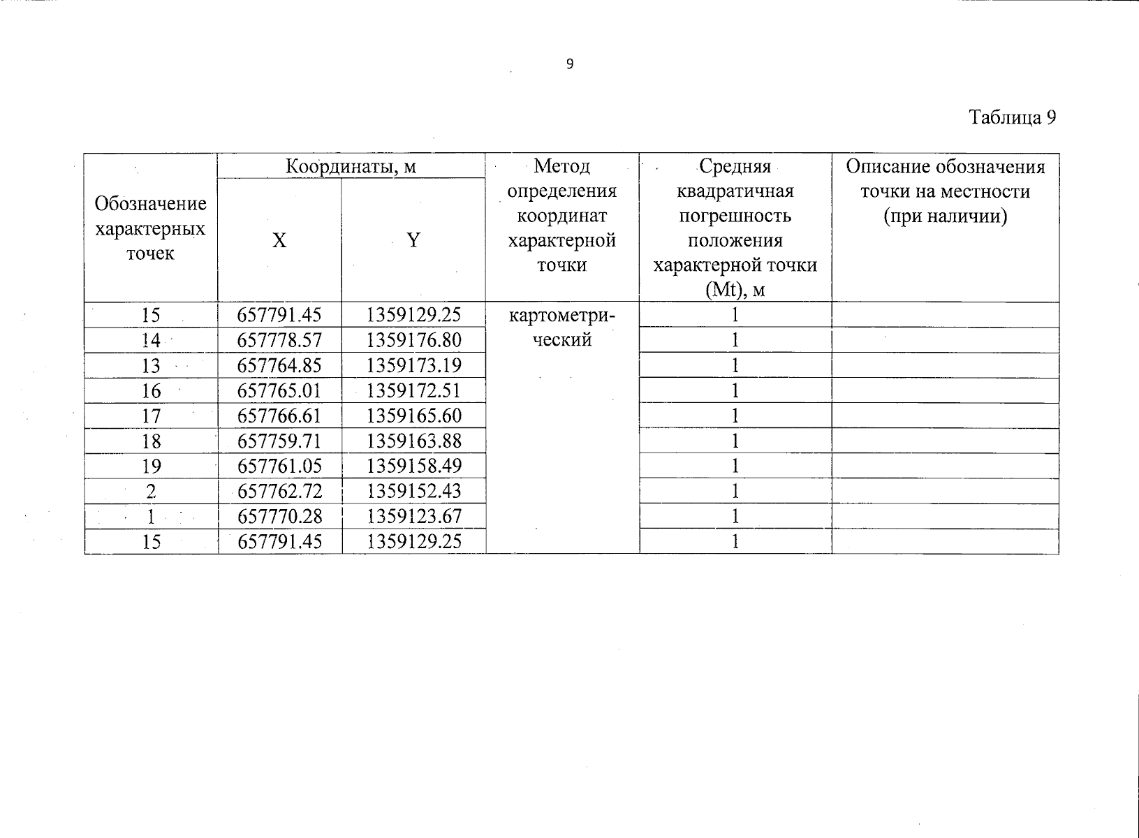
Постановление Правительства Республики Башкортостан от 12.03.2025 № 108
"Об утверждении границ зон охраны объекта культурного наследия регионального значения "Старообрядческие дома", расположенного по адресу: Республика Башкортостан, г. Уфа, ул. Коммунистическая, 63/1, режимов использования земель и требований к градостроительным регламентам в границах территорий данных зон"
Номер опубликования: 0200202503190009
Дата опубликования: 19.03.2025
Страница №11 из 28:
Увеличить