Официальное опубликование правовых актов
ОФИЦИАЛЬНОЕ ОПУБЛИКОВАНИЕ
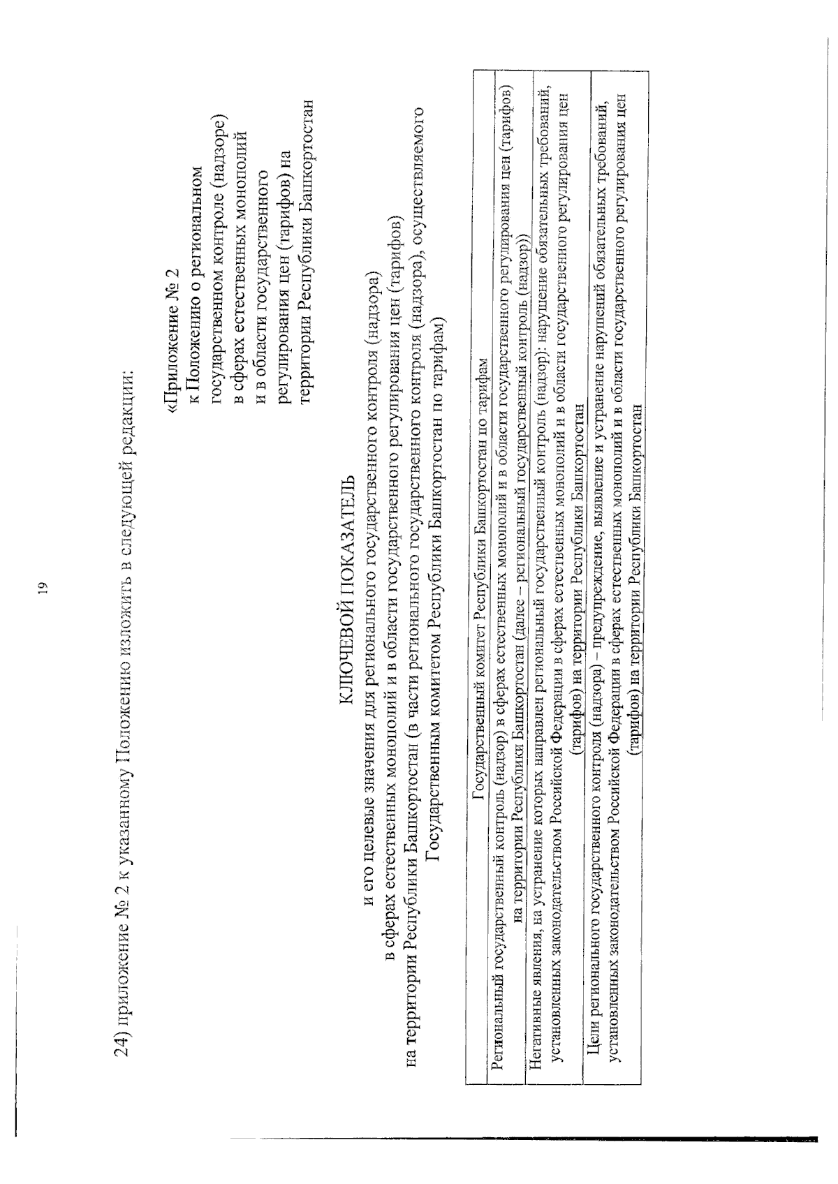
Постановление Правительства Республики Башкортостан от 14.07.2025 № 315
"О внесении изменений в Положение о региональном государственном контроле (надзоре) в сферах естественных монополий и в области государственного регулирования цен (тарифов) на территории Республики Башкортостан"
Номер опубликования: 0200202507210001
Дата опубликования: 21.07.2025
Страница №20 из 26:
Увеличить