Официальное опубликование правовых актов
ОФИЦИАЛЬНОЕ ОПУБЛИКОВАНИЕ
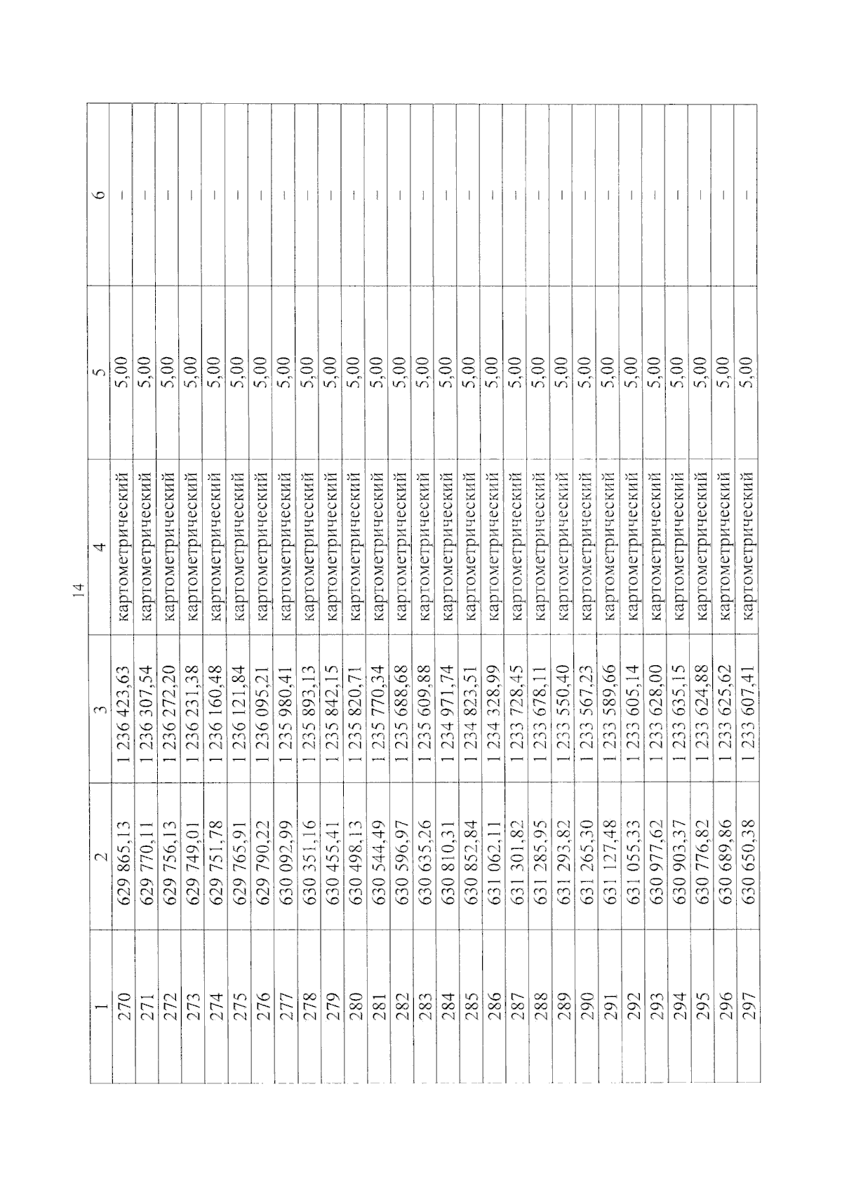
Указ Главы Республики Башкортостан от 16.07.2025 № УГ-699
"О внесении изменений в Указ Главы Республики Башкортостан от 22 ноября 2024 года № УГ-1214 "О создании и установлении границ охранных зон природных парков"
Номер опубликования: 0200202507230005
Дата опубликования: 23.07.2025
Страница №25 из 32:
Увеличить