Официальное опубликование правовых актов
ОФИЦИАЛЬНОЕ ОПУБЛИКОВАНИЕ
Постановление Правительства Республики Башкортостан от 16.07.2025 № 336
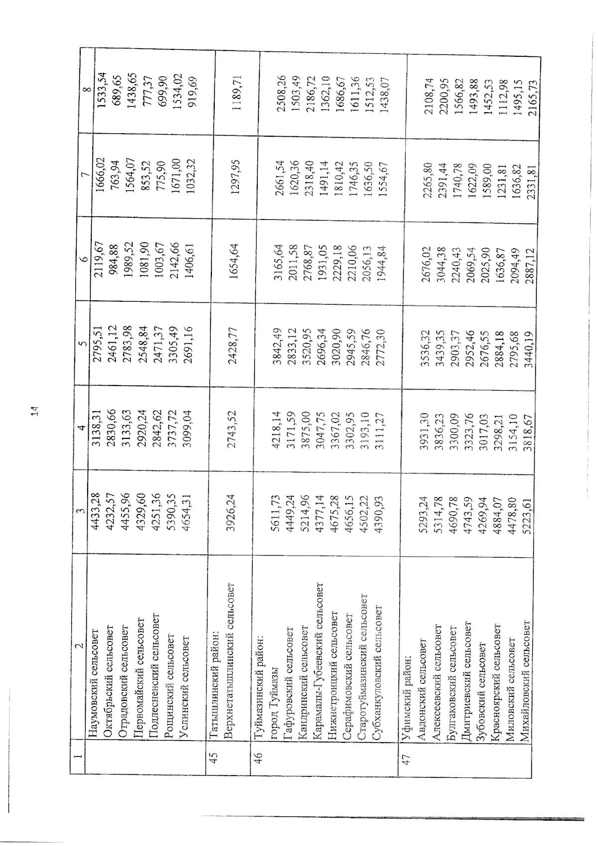
"О внесении изменений в постановление Правительства Республики Башкортостан от 4 сентября 2024 года № 383 "О республиканских стандартах стоимости жилищно-коммунальных услуг по муниципальным образованиям Республики Башкортостан на 2024 год и первое полугодие 2025 года"
Номер опубликования: 0200202507230011
Дата опубликования: 23.07.2025
Страница №15 из 18:
Увеличить