Официальное опубликование правовых актов
ОФИЦИАЛЬНОЕ ОПУБЛИКОВАНИЕ
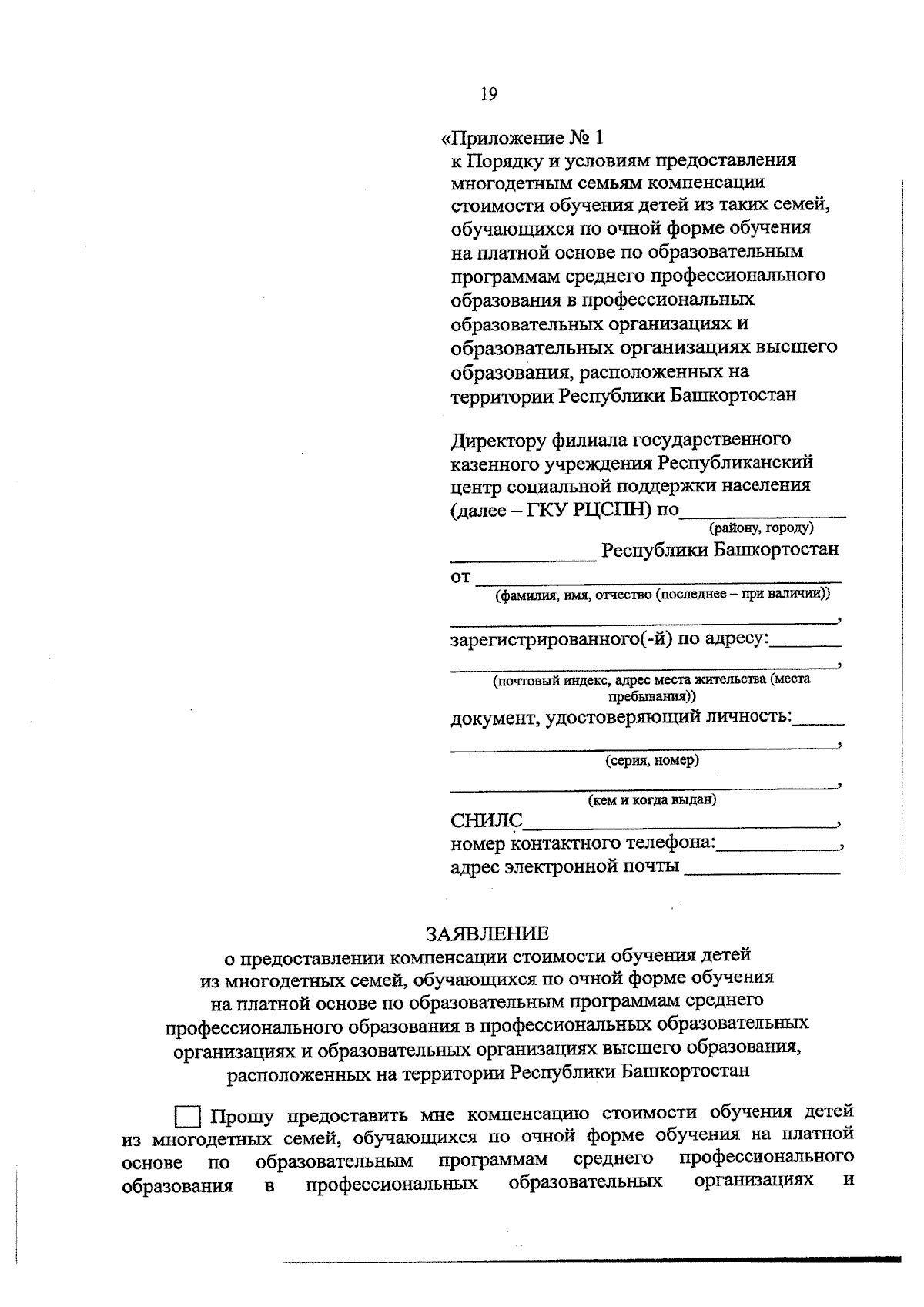
Постановление Правительства Республики Башкортостан от 30.09.2025 № 464
"О внесении изменений в некоторые решения Правительства Республики Башкортостан и о признании утратившим силу постановления Правительства Республики Башкортостан от 22 декабря 2020 года № 777 "Об утверждении Порядка предоставления субсидий юридическим лицам (за исключением государственных (муниципальных) учреждений), индивидуальным предпринимателям на возмещение расходов на проведение стажировки граждан, являющихся получателями адресной социальной помощи на основании социального контракта"
Номер опубликования: 0200202510030002
Дата опубликования: 03.10.2025
Страница №20 из 41:
Увеличить